Мы используем cookie для наилучшего представления нашего сайта. Подробнее об этом в Политике конфиденциальности.
Ок

Анапа

Ваш город:
Анапа (Краснодарский край)?
Нет
Да
Каталог
Каталог Написать в WhatsApp
Мотоэкипировка

Снегоход STELS СТАВР WT600 LUX (50 гусеница)

  • Гусеница д/ш 3920х500 мм
  • Мощность, л.с. 57
  • Тактность
  • ПТС (ПСМ) Да
  • Страна бренда Россия
Все характеристики
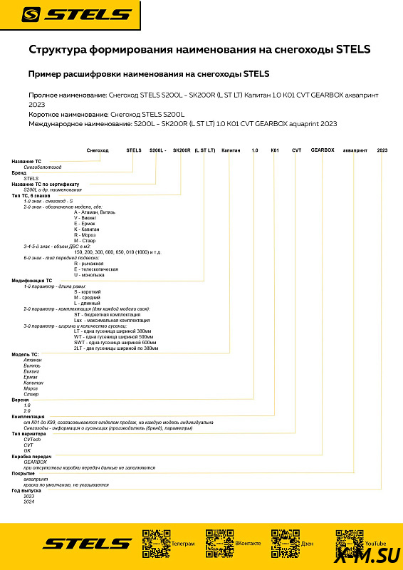
Заводское наименование комплектации: Снегоход STELS МS600 WT ST - SM600T (L Lux WT) СТАВР 1.0 K01 CVTech (Артикул: JU132097) Новый STELS СТАВР бросает вызов любой зиме — это современный взгляд на... Подробнее

Товар находится в архиве и больше не продается.
Вы можете подобрать альтернативный вариант.

Заводское наименование комплектации: Снегоход STELS МS600 WT ST - SM600T (L Lux WT) СТАВР 1.0 K01 CVTech (Артикул: JU132097)

Новый STELS СТАВР бросает вызов любой зиме — это современный взгляд на надежный утилитарный снегоход.
Один из лучших Российских снегоходов на 50й гусенице!

Цена указана без учёта стоимости доставки. Стоимость доставки уточняйте у менеджера.

Дополнительная информация

Цена на товар Снегоход STELS СТАВР WT600 LUX (50 гусеница) не является итоговой и может измениться в зависимости от валютных курсов, общей экономической ситуации или логистических и иных факторов.

Представленная на сайте информация о товарах, включая внешний вид, фото, технические характеристики, комплектацию является справочной полученной из открытых источников сети интернет. Указанные параметры могут быть изменены производителем без предварительного уведомления. Сведения о цене товара и/или его наличии на складе подлежат дополнительному уточнению у продавца при оформлении заказа.

Администратор сайта не может гарантировать продажу товара, в точности соответствующего представленным на сайте характеристикам, в связи с чем представление на сайте сведений о товарах не является публичной офертой в соответствии со статьями 437 и 494 Гражданского кодекса Российской Федерации.

Читать полностью
  • Арт Машинокомплект STELS СТАВР WT600 LUX (50 гусеница)
  • ПТС (ПСМ)Да
  • Тип двигателяБензиновый
  • Объем двигателя, куб. см565
  • Тактность
  • Мощность до, л.с.57
  • Гусеница д/ш 3920х500 мм
  • Страна бренда Россия

ДВИГАТЕЛЬ
Количество тактов - 2
Объем двигателя - 565 куб.см
Кол-во цилиндров - 2
Диаметр цилиндра и ход поршня N/A
Макс. мощность - 57 л.с.
Впуск - 2 карбюратора Микуни
Система охлаждения - Воздушная

ГАБАРИТЫ И МАССА
Длина - 3290±30 мм
Ширина - 1090±20 мм
Высота - 1190±50 мм
Расстояние между лыжами - N/A
Сухая масса - 260 кг
Длина гусеницы - 3920 мм
Ширина гусеницы - 500 мм
Высота грунтозацепа - 30 мм

ХОДОВАЯ ЧАСТЬ И ТОРМОЗА
Передняя подвеска - Телескопическая
Ход передней подвески - 145 мм
Задняя подвеска - Склизовая, пружинная, с гидравлическим амортизатором
Ход задней подвески - 190 мм
Тормозной механизм - Дисковый тормоз с гидравлическим приводом, установлен на приводном валу, действует на гусеницу

ЭКСПЛУАТАЦИОННЫЕ ХАРАКТЕРИСТИКИ
Максимальная скорость - Не менее 85 км/ч
Емкость топливного бака - 40 л

Смотреть все

Мы гарантируем качество нашей продукции и предоставляем гарантию на все товары, приобретенные у нас на 2 года. Это означает, что вы можете быть уверены в том, что ваша покупка будет функционировать должным образом в течение длительного времени.

Если в течение гарантийного периода у вас возникнут проблемы с товаром, связанные с его производственными дефектами, мы заменим или отремонтируем его бесплатно. Наш гарантийный период начинается с даты приобретения товара и действует в течение двух лет.

Условия гарантии могут различаться в зависимости от конкретной продукции, поэтому, пожалуйста, обратитесь к инструкции по эксплуатации товара, чтобы узнать более подробную информацию о гарантии.

Гарантия не распространяется на повреждения, вызванные неправильной эксплуатацией, утратой реквизитов или неправильным использованием товара. Также она не распространяется на нормальный износ и потери, вызванные нормальным использованием товара.

Мы ценим наших клиентов и стремимся обеспечивать высокий уровень сервиса. Если у вас возникнут какие-либо проблемы или вопросы, связанные с нашими продуктами, пожалуйста, обратитесь к нашей службе поддержки клиентов, и мы постараемся решить все ваши проблемы в кратчайшие сроки.

В данный момент нет отзывов. Оставьте свой.

Доставка заказов осуществляется во все регионы России

Нашими машинами при удаленности от филиала «Х-MOTORS» не более чем на 200 км. Отгрузка осуществляется после 100% оплаты товара.

Курьерской службой СДЭК, транспортной компанией DPD, ПЭК, GTD, Деловые линии или любой другой на ваш выбор. В данном случае вы оплачиваете 10% стоимости товара, а остаток вносите при получении в транспортной компании.

Минимальная партия товара − без ограничений.

В некоторых случаях предоставляется БЕСПЛАТНАЯ ДОСТАВКА товаров по акции: уточняйте информацию у вашего менеджера.

Способы оплаты

  • Наличными или банковской картой в ближайшем филиале сети «X-MOTORS»
  • По выставленному счету. Мы высылаем Вам официальный договор и выставляем счет, который можно оплатить в любом банке РФ. После оплаты заказ отгружается по условиям доставки, указанным в Договоре.
  • Через сайт на карту СберБанка. Оплата происходит через авторизационный сервер Процессингового центра Банка ПАО «Сбербанк России» с использованием банковских кредитных карт платежных систем Visa, MasterCard или МИР.
  • В кредит до трех лет, возможно, без первоначального взноса. Оформление через Банк.
  • В рассрочку с нулевым первоначальным взносом, нулевой комиссией на полгода или 24 месяца. На некоторые товары действует рассрочка с увеличением цены на 8%, первоначальным взносом 30% и остатком на 10 месяцев. Оформление через Банк.

Документы

Не нашли нужного документа?

Отправьте запрос и мы предоставим нужный документ!

Запросить документ

Видео

Какой снегоход на 500 гусенице купить за 400 000? #xmotors

Как выбрать СНЕГОХОД в сезоне 2024-2025? Лучшие снегоходы в мотосалонах X-MOTORS😎

Как не попасть на мошенников при покупке снегоходов STELS Капитан, IRBIS SF, PROMAX и т.д.

Снегоходы РМ Тайга 500/550 лохотрон в сети: на Авито, Дром, Юла.. Как не попасть к мошенникам!

На чем кататься зимой? Зимняя техника до 500.000 рублей от мотосалона X-MOTORS

Как купить снегоход STELS и не попасть на мошенников! #xmotors

Другие товары STELS

Смотреть все
Главная Магазины
Корзина0
Профиль